- 产品名称: HW-309T台式钠离子分析仪
- 型号: HW-309T
- 用途: 钠离子的测定
1.介绍
TP330 钠离子分析仪依据GB 12156-89《锅炉用水和冷却水分析方法 钠的测量 静态法》和JJG 822-1993《钠离子计检定规程》标准设计制造。
l 应用于科研院所,大专院校等研究部门
l 应用于电力、石化、造纸、制药、食品、环保等行业
l 适用于电厂高纯水(如蒸汽、凝结水、锅炉给水等)的品质检测
l 适用于天然水、工业用水中的钠离子浓度的检测
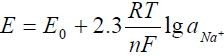
2.原理
钠电极的电位对钠离子浓度变化的响应可用能斯特方程描述:

在25℃时钠离子选择电极对十倍离子浓度变化的理论响应值59.16mV,这被称为电极斜率(S)。然而大多数电极并不表现为理论斜率,因此需要校准仪器以确定电极的真实斜率值。在具体使用中,我们用两个标准溶液来标定出电极的真实斜率值和零点。
3.功能特点
l 高精度电极,测量范围宽,测量准确度高
l 先进贴片工艺及一体化设计,高集成度电路设计稳定耐用
l 先进单片机技术,高性能,低功率
l 中文菜单显示,易于理解,便于操作
l 温度自动补偿,实现准确测量
l 数据循环存储,自动清除溢出,操作简单,查询方便,断电数据存储时间10年以上
l 采用24位A/D转换和单片机微处理技术,高集成度电路设计稳定耐用
l 5.0寸触摸彩色液晶,中文显示,操作方便
4.技术指标
显 示: 5.0寸触摸彩色液晶,中文显示
测量范围:(0.00~9.36)pNa(0.01μg/L~23.0g/L)
示值误差:±3μg/L 或±0.03pNa(取大者)
重 复 性:≤±2.5%(测试值)
分 辨 率:0.01μg/L
稳 定 性:±0.03pNa /4h
响应时间:T90<3min(25℃)
电子单元误差:±0.01 pNa
电子单元重复性:≤0.01 pNa
电子单元温度补偿误差:±0.01 pNa;
电子单元输入电流:≤2×12-12
电子单元输入阻抗:≥3×1012Ω
温度传感器:Pt1000
温度误差:±0.5℃
温补范围:(0~60)℃(手动或自动)
水样温度:(5~60)℃
环境温度:(5~45)℃
环境湿度: ≤85%RH(无冷凝)
储运温度:(-25~55)℃(不包含电极,电极应高于0℃)
供电电源: 交流(85~265)V 频率(45~65)Hz
功 率: ≤5W
外型尺寸: 215mm×150m×85mm
重 量: 2.1kg
5.订购指南
配件指南
l 钠离子复合电极
l 温度电极 Pt1000
l 万向电极支架
l 钠离子标准液(200mg/L)
注意事项
1.若电极球泡沾有污物,应及时清洗,电极在使用中也需要定期清洗,禁止在通电状
态下插拔仪器电极。
2.应保持玻璃电极插口、电极插头和引线连接部分的清洁、干燥,勿沾油污,勿受潮,
勿用手触摸,保证输入端处于高阻状态,以免引起测量误差。
3.被测水样要用二异丙胺将pH值至10.5以上,消除H+的干扰,使测量值稳定。
4.电极在测样时应保证电极填充液加注口的密封塞是敞开状态。不用时请闭合保证填充液不
会流失。










